دل نوشته ها ی نقش و آموزش ریاضی
نوشته هائی در باره بازگشت به خود و مسائل ریاضی و آموزش آن
صفحه اصلی
ایمیل
آرشیو وبلاگ
عناوین نوشته ها
☰
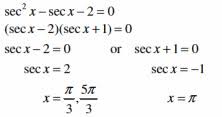
مثال حل معادله سکانتی درجه 2
۱۳۹۹/۰۳/۲۸ - - علی رضا نقش نیلچی -
مشخصات وب
در این وبلاگ شما با ریاضی در سطوح مختلف آشنا خواهید شد.
موضوعات وب
بخندیدو فکرکنید.
مسائل و تدریس هندسه 1
ریاضی 1 دهم رشته ریاضی و تجربی
رياضي نهم
ریاضی یازدهم رشته تچربی
مسائل و تدریس کامپیوتر
مسائل و تدریس ریاضی پنجم دبیرستان
مسائل و تدریس آمار و احتمال
آمارواحتمال رشته ریاضی متوسطه سال یازدهم
مسائل و تدریس هندسه 2
مسائل و تدریس ریاضی عمومی
مسائل و تدریس هندسه دوازدهم یا تحلیلی
مسائل و تدریس ریاضی پایه
مسائل و تدریس آمار و مدل سازی
مسائل و تدریس حسابان 1 و 2
مسائل و تدریس گسسته
مسائل و تدریس دیفرانسیل دبیرستان نظام قدیم
مسائل و تدریس ریاضی 1 دانشگاه
مسائل و تدریس ریاضی 2 دانشگاه
مسائل و تدریس ریاضی مهندسی
مسائل و تدریس گسسته دانشگاه
فیزیک 2
ساختمان داده ها
ارز و طلا
آمارو احتمال مهندسی
فیزیک 3 ریاضی و تجربی
ریاضی 1 پایه دهم رشته فنی
فیزیک
روش تدریس ریاضی
پیوندها
کامپیوتر و ریاضی
ریاضی پیشرفته
آرشیو وب
۱۴۰۴/۰۷/۱ - ۱۴۰۴/۰۷/۳۰
۱۴۰۴/۰۶/۱ - ۱۴۰۴/۰۶/۳۱
۱۴۰۴/۰۵/۱ - ۱۴۰۴/۰۵/۳۱
۱۴۰۴/۰۳/۱ - ۱۴۰۴/۰۳/۳۱
۱۴۰۳/۱۱/۱ - ۱۴۰۳/۱۱/۳۰
۱۴۰۳/۰۳/۱ - ۱۴۰۳/۰۳/۳۱
۱۴۰۳/۰۲/۱ - ۱۴۰۳/۰۲/۳۱
۱۴۰۳/۰۱/۱ - ۱۴۰۳/۰۱/۳۱
۱۴۰۲/۱۰/۱ - ۱۴۰۲/۱۰/۳۰
۱۴۰۲/۰۹/۱ - ۱۴۰۲/۰۹/۳۰
۱۴۰۲/۰۸/۱ - ۱۴۰۲/۰۸/۳۰
۱۴۰۲/۰۵/۱ - ۱۴۰۲/۰۵/۳۱
۱۴۰۲/۰۳/۱ - ۱۴۰۲/۰۳/۳۱
۱۴۰۲/۰۲/۱ - ۱۴۰۲/۰۲/۳۱
۱۴۰۲/۰۱/۱ - ۱۴۰۲/۰۱/۳۱
۱۴۰۱/۱۲/۱ - ۱۴۰۱/۱۲/۲۹
۱۴۰۱/۰۶/۱ - ۱۴۰۱/۰۶/۳۱
۱۴۰۱/۰۴/۱ - ۱۴۰۱/۰۴/۳۱
۱۴۰۱/۰۳/۱ - ۱۴۰۱/۰۳/۳۱
۱۴۰۱/۰۲/۱ - ۱۴۰۱/۰۲/۳۱
۱۴۰۱/۰۱/۱ - ۱۴۰۱/۰۱/۳۱
۱۴۰۰/۱۲/۱ - ۱۴۰۰/۱۲/۲۹
۱۴۰۰/۱۱/۱ - ۱۴۰۰/۱۱/۳۰
۱۴۰۰/۱۰/۱ - ۱۴۰۰/۱۰/۳۰
۱۴۰۰/۰۹/۱ - ۱۴۰۰/۰۹/۳۰
۱۴۰۰/۰۸/۱ - ۱۴۰۰/۰۸/۳۰
۱۴۰۰/۰۷/۱ - ۱۴۰۰/۰۷/۳۰
۱۴۰۰/۰۵/۱ - ۱۴۰۰/۰۵/۳۱
۱۴۰۰/۰۳/۱ - ۱۴۰۰/۰۳/۳۱
۱۴۰۰/۰۲/۱ - ۱۴۰۰/۰۲/۳۱
۱۳۹۹/۱۱/۱ - ۱۳۹۹/۱۱/۳۰
۱۳۹۹/۱۰/۱ - ۱۳۹۹/۱۰/۳۰
۱۳۹۹/۰۹/۱ - ۱۳۹۹/۰۹/۳۰
۱۳۹۹/۰۵/۱ - ۱۳۹۹/۰۵/۳۱
۱۳۹۹/۰۴/۱ - ۱۳۹۹/۰۴/۳۱
۱۳۹۹/۰۳/۱ - ۱۳۹۹/۰۳/۳۱
آرشيو
آمارگیر وبلاگ
آمارگیر وبلاگ
پربازدیدترین مطالب
کد پربازدیدترین
در اين وبلاگ
در كل اينترنت
B L O G F A . C O M